
Подано графік зміни температури повітря протягом доби.
а) Якою була температура повітря о 4 годині; о 20 годині? –5 °С; 0,5 °С
б) О котрій годині вона була:
а) найвищою; 16 год
б) найнижчою? 6 год
в) О котрій годині температура була нульовою? 12 год, 22 год
г) У які години температура була:
а) додатною; 12 – 22 год
б) від’ємною? 0 – 12 год і 22 – 24 год
ґ) У які години температура:
а) зростала; 6 – 16 год
б) спадала? 0 – 6 год і 16 – 24 год
д) О котрій годині температура дорівнювала 2°С; 16 год
–2°С? 1 год, 10 год та 24 год
е) Скільки разів температура дорівнювала 1°С? 2 рази (о 13 год і 18 год)
–1°С? 3 рази (о 0 год, 11 год і 23 год)
Завдання 885
Подано графіки залежності шляху, що подолав автомобіль, від часу. Яку відстань проїхав автомобіль? За який час? З якою швидкістю?
1) 180 км – відстань, 3 год – час, тому 180 : 3 = 60 км/год – швидкість;
2) 135 км – відстань, 1,5 год – час, 135 : 1,5 = 1350 : 15 = 90 км/год – швидкість.
Завдання 886
Подано графік зміни температури в духовці під час приготування страви.
а) Яка температура була:
а) о 10:10; 100°C
б) о 11:00? 250°C
б) О котрій годині температура була 100 °С? О 10:10 та 11:40
в) Яка була найвища температура в духовці? 250 °C
Продовж якого часу трималась така температура? З 10:30 до 11:00, тобто 30 хв
г) Продовж якого часу температура:
а) зростала? З 10:05 до 10:30, тобто 25 хв
б) спадала? З 11:00 до 12:10, тобто 1 год 10 хв
ґ) О котрій годині включили духовку? 10:05
О котрій виключили? 11:00
Завдання 887
Побудуй графік зміни температури за таблицею.
|
Час (год) |
0 |
1 |
2 |
3 |
4 |
5 |
6 |
7 |
8 |
9 |
10 |
|
Температура (°С) |
2 |
0 |
–1 |
–2 |
–3 |
–1 |
0 |
1 |
3 |
4 |
6 |

Завдання 888
Подано графік руху автомобіля протягом п’яти годин.
а) Яку відстань подолав автомобіль за 2 год; 100 км
за 5 год? 250 км
б) З якою швидкістю він їхав? 50 км/год
в) Заповни таблицю, що відповідає цьому графіку.
|
Час руху (год) |
0,5 |
1 |
1,5 |
2 |
2,5 |
3 |
3,5 |
4 |
4,5 |
5 |
|
Відстань (км) |
25 |
50 |
75 |
100 |
125 |
150 |
175 |
200 |
225 |
250 |
Завдання 889
Побудуй графік руху велосипедиста за таблицею.

Завдання 890
Мотоцикл їхав 5 год зі швидкістю 50 км/год. Склади відповідну таблицю і побудуй графік руху мотоцикла.
|
Час руху (год) |
1 |
2 |
3 |
4 |
5 |
|
Відстань (км) |
50 |
100 |
150 |
200 |
250 |

Завдання 891
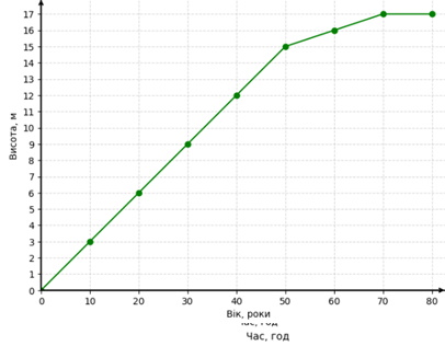
Висота сосни змінювалась залежно від її віку.
|
Вік (р.) |
0 |
10 |
20 |
30 |
40 |
50 |
60 |
70 |
80 |
|
Висота (м) |
0 |
3 |
6 |
9 |
12 |
15 |
16 | 17 | 17 |
Побудуй графік залежності висоти сосни від її віку.

Знайди:
а) висоту сосни в 15 років, 23 роки, 77 років; 4,5 м; 7 м; 17 м
б) у якому віці висота сосни дорівнювала 8 м; 26 років
в) на скільки метрів сосна виросла за 20 перших років. 6 м
Завдання 892
Знайдіть в інтернеті графік, проаналізуйте його. Сформулюйте запитання до нього для однокласника/однокласниці.

1. Яка температура була о 1 годині?
2. В який час температура досягла мінімуму?
3. В який час температура була максимальною?
4. Яка температура о 12 годині?
5. На скільки градусів температура піднялася з 6 до 9 години?
6. Яка температура о 18 годині?
Завдання 893
Кожні 2 години продовж 10 годин виміряй температуру повітря. Побудуй таблицю та відповідний графік.
|
Час (год) |
0 |
1 |
2 |
3 |
4 |
5 |
6 |
7 |
8 |
9 |
10 |
11 |
|
Температура (°C) |
11 |
11 |
11 |
10 |
10 |
11 |
12 |
14 |
16 |
18 |
20 |
22 |
|
Час (год) |
12 |
13 |
14 |
15 |
16 |
17 |
18 |
19 |
20 |
21 |
22 |
23 |
|
Температура (°C) |
23 |
24 |
24 |
23 |
22 |
20 |
19 |
18 |
17 |
16 |
15 |
13 |

Завдання 894
Відомо, що площа квадрата S = a², де a — довжина його сторони. Склади таблицю залежності площі квадрата від довжини його сторони. Побудуй графік цієї залежності.
|
a (см) |
0 |
1 |
2 |
3 |
4 |
|
S (см²) |
0 |
1 |
4 |
9 |
16 |

Завдання 895
Велосипедистка 2 год їхала зі швидкістю 14 км/год, а після годинного відпочинку з такою самою швидкістю їхала ще 3 год. Чи відповідає її руху графік, зображений на малюнку? Скільки всього кілометрів вона проїхала?
Розв'язання
1) 28 : 2 = 14 (км/год) – швидкість руху за перші дві години;
2) 70 – 28 = 42 (км) – відстань проїхала за наступні 3 години;
3) 42 : 3 = 14 (км/год) – швидкість руху протягом наступних 3 години.
Відповідь: так, графік відповідає руху; вона проїхала 70 км.
Завдання 896
На малюнку зображено графік руху групи туристів. Скільки годин туристи були в дорозі? Скільки кілометрів пройшли? Скільки разів вони відпочивали і по скільки годин? З якими швидкостями туристи йшли?
У дорозі були: 10 год
Відстань пройшли: 30 км
Відпочивали 2 рази.
Перший відпочинок тривав: 1 год (3 год – 2 год = 1 год)
Другий відпочинок тривав: 2 год (7 год – 5 год = 2 год)
Швидкості:
з 0–2 год: 5 км/год (10 км : 2 год = 5 км/год);
3–5 год: 5 км/год (20 км – 10 км = 10 км, 10 км : 2 год = 5 км/год);
7–10 год: 3 1/3 км/год (30 км – 20 км = 10 км, 10 км : 3 год = 10/3 км/год = 3 1/3 км/год).
Завдання 897
Велосипедист 3 год їхав зі швидкістю 15 км/год. Відпочивши годину, він з такою самою швидкістю проїхав ще 30 км. Побудуй графік руху велосипедиста. Скільки всього кілометрів він проїхав?
Розв'язання
1) 3 • 15 = 45 (км) – проїхав за перші 3 год;
2) 45 + 30 = 75 (км) – відстань проїхав.
Відповідь: 75 км.

Завдання 898
За поданою таблицею вартості покупки в залежності від кількості куплених блокнотів побудуй графік в Excel.
|
Кількість |
1 |
2 |
3 |
4 |
5 |
|
Вартість |
50 |
100 |
150 |
200 |
250 |
Яка ціна блокнота? 50 грн

Завдання 899
Оленка мала 1200 грн. Скільки однакових іграшок вона може купити, якщо вартість кожної: 100 грн, 200 грн, 300 грн, 400 грн, 600 грн, 1200 грн? Склади відповідну таблицю і побудуй графік.
|
Вартість іграшки (грн) |
100 |
200 |
300 |
400 |
600 |
1200 |
|
Кількісь іграшок |
12 |
6 |
4 |
3 |
2 |
1 |

Чи буде цей графік суцільною лінією? Графік не буде суцільною лінією, бо кількість іграшок є тільки натуральними числами. Тому між точками немає проміжних значень, і графік складається з окремих точок, а не є суцільною лінією.
Завдання 900
Продовж числову послідовність: –1,6; 0,4; –0,1; 1,9; 1,4; 3,4; 2,9; 4,9; 4,4
Закономірність: друге число більше від першого числа на 2 і від третього числа на 0,5.
Завдання 901
У турнірі першості з футболу брали участь 17 команд. Кожна команда грала з іншими по 2 рази. Скільки було всього матчів у турнірі?
Розв'язання
1–ий спосіб
Кожна команд зіграла 16 матчів (з усіма, крім з собою) по 2 рази, тому
17 • 16 = 272 матчі.
2–ий спосіб
Якщо кожен матч рахувати 1 раз, тоді маємо:
16 + 15 + 14 + 13 + 12 + 11 + 10 + 9 + 8 + 7 + 6 + 5 + 4 + 3 + 2 + 1 =
= (16 + 1) + (15 + 2) + (14 + 3) + (13 + 4) + (12 + 5) + (11 + 6) + (10 + 7) + (9 + 8) =
= 17 • 8 = 136 матчів.
Оскільки грали по 2 рази, тому 136 • 2 = 272 матчі.
Відповідь: 272 матчі.
Завдання 902
У торбі є яблука трьох сортів. Скільки яблук треба взяти навмання, щоб серед узятих виявилося принаймні 2 яблука одного сорту?
Міркуємо так. Візьмемо 3 яблука, у гіршому випадку всі три будуть різного сорту. Тоді четверте яблуко будь–якого сорту матиме пару серед перших трьох.
Відповідь: 4 яблука.
Завдання 903
Сума трьох чисел дорівнює 100. Знайди їх, якщо перше число становить 50 % від другого, а друге — 40 % від третього.
Розі'язання
Нехай третє число дорівнює х, тоді друге число — 0,4х, а перше число — 0,5 • 0,4х = 0,2х. Сума всіх чисел дорівнює 100. Складаємо рівняння:
х + 0,4х + 0,2х = 100
1,6х = 100
х = 100 : 1,6
х = 62,5 – третє число;
62,5 • 0,4 = 25 – друге число;
62,5 • 0,2 = 12,5 – перше число.
Відповідь: 12,5; 25 і 62,5.
Завдання 904
Знайди три числа, середнє арифметичне яких дорівнює 63 і які пропорційні числам 3, 4 і 8.
Розв'язання
1–ий спосіб
Нехай коефіцієнт пропорційності дорівнює х, тоді перше число дорівнює 3х, друге число — 4х, а третє число — 8х. Середнє арифметичне цих чисел дорівнює 63. Складаємо рівняння.
(3х + 4х + 8х) : 3 = 63
15х : 3 = 63
15 х = 63 • 3
15х = 189
х = 12,6
3 • 12,6 = 37,8 – І число;
4 • 12,6 = 50,4 – ІІ число;
8 • 12,6 = 100,8 – ІІІ число.
2–ий спосіб
1) 63 • 3 = 189 – сума трьох чисел;
2) 3 + 4 + 8 = 15 (ч.) – всього частин;
3) 189 : 15 = 12,6 – припадає на одну частину:
4) 3 • 12,6 = 37,8 – І число;
5) 4 • 12,6 = 50,4 – ІІ число;
6) 8 • 12,6 = 100,8 – ІІІ число.
Відповідь: 37,8; 50,4; 100,8.
Завдання 905 Рівняння
|
а) х² + 3 = 28 х² = 25 х = 5 або х = –5
|
б) |х + 4| = 16 х + 4 = 16 або –(х + 4) = 16 х = 16 – 4 –х – 4 = 16 х = 12 –х = 16 + 4 –х = 20 х = 20 : (–1) х = –20 |